
Passage 1: Long-Chain Fatty Acids
Oleaginous microalgae contain a high level of lipids, which can be extracted and converted to biofuel. The lipid-extracted residue can then be further utilized through anaerobic digestion to produce biogas. However, long-chain fatty acids (LCFAs) have been identified as the main inhibitory factor on microbial activity of anaerobic consortium.
In this study, the mechanism of LCFA inhibition on anaerobic digestion of whole and lipid-extracted algal biomass was investigated with a range of calcium concentrations against various inoculum to substrate ratios as a means to alleviate the LCFA inhibition. During the AD process, lipids are initially hydrolyzed to long-chain fatty acids (LCFAs) and glycerol in a fast step by extracellular lipases excreted by hydrolytic bacteria. LCFAs then adsorb to and are transported within microbial cell membranes. Once inside, LCFAs are further degraded to acetic acid and hydrogen through β-oxidation by syntrophic acetogenic bacteria.
In lipid-containing substrates, degradation of LCFAs via β-oxidation is the slowest conversion step and controls the overall kinetics of the digestion process. The difference between the rates of hydrolysis of lipids and β-oxidation of LCFAs could result in a reactant–product imbalance and LCFA accumulation over time, resulting in inhibition on microbial activity. The green line in Figure 1 illustrates the microbial activation and black line shows the LCFA concentration through time.
The inhibitory effect of LCFAs on microbial activity of hydrolytic bacteria, acidogens, acetogens, and methanogens within anaerobic consortium has been well documented. Methanogens were reported to be more susceptible to LCFA inhibition compared to acidogens, while acetotrophic methanogens are reported to be more severely affected than hydrogenotrophic methanogens. If the microbial population is disrupted by LCFAs, inhibited digestion will occur, leading to volatile fatty acids (VFA) accumulation and depressed methane production.
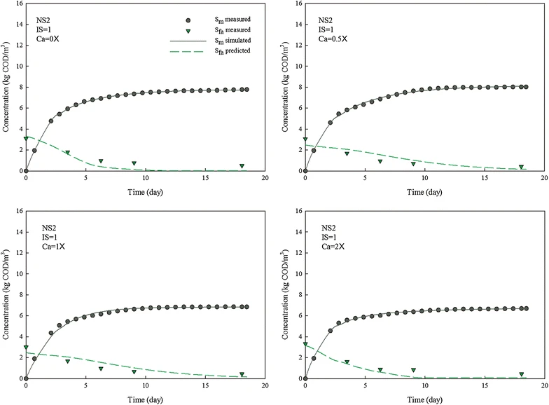
In this research, the LCFA concentration in NS1 and NS2 digesters was 9.9 g COD/L and 3.1 g COD/L, respectively, noticeably higher than the approximate inhibitory threshold range (~0.5–1.5 g COD/L) mentioned in literature. Severe inhibition occurred in digesters with low inoculum concentration, as noticed by extremely low methane production. However, no inhibition was observed for digesters with appropriate I/S ratio and proper calcium dosing. It seems that high inoculum concentration could be used as a means of alleviating the inhibition mediated by LCFAs. Calcium ion could also be an effective way to bond LCFAs and thus keep microbial cells from being tightly wrapped by LCFAs. The impact of calcium ion, however, is dependent on the concentration of inoculum, in which a minimum inoculum concentration is required.
Source: Mechanism, kinetics and microbiology of inhibition caused by long-chain fatty acids in anaerobic digestion of algal biomass. Ma et al. (2015).
